Навигация
Математушка
Наши выпускники
Оставить заявку
ЕГЭ
Статьи
Контакты
Цены
Заочное обучение
Войти
Задачи ЕГЭ по математике
1 Квадратный корень
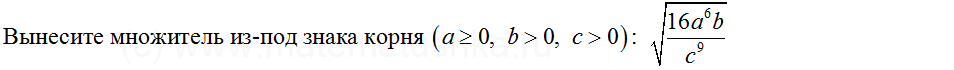
Задача № 1
Показать ответ
Ответ:
Показать решение
Решение:
Ответ:
Задача № 2
Показать ответ
Ответ:
Показать решение
Решение:
Ответ:
Задача № 3
Показать ответ
Ответ:
Показать решение
Решение:
Ответ:
Задача № 4
Показать ответ
Ответ:
Показать решение
Решение:
Ответ:
Задача № 5
Показать ответ
Ответ:
Показать решение
Решение:
Ответ:
Задача № 6
Показать ответ
Ответ:
Показать решение
Решение:
Ответ:
Задача № 7
Показать ответ
Ответ:
Показать решение
Решение:
Ответ:
Задача № 8
Показать ответ
Ответ:
Показать решение
Решение:
Ответ:
Задача № 9
Показать ответ
Ответ:
Показать решение
Решение:
Ответ:
Задача № 10
Показать ответ
Ответ:
Показать решение
Решение:
Ответ:
Задача № 11
Показать ответ
Ответ:
Показать решение
Решение:
Ответ:
Задача № 12
Показать ответ
Ответ:
Показать решение
Решение:
Ответ:
Задача № 13
Показать ответ
Ответ:
Показать решение
Решение:
Ответ:
Задача № 14
Показать ответ
Ответ:
Показать решение
Решение:
Ответ:
Задача № 15
Показать ответ
Ответ:
Показать решение
Решение:
Ответ:
Задача № 16
Показать ответ
Ответ:
Показать решение
Решение:
Ответ:
Задача № 17
Показать ответ
Ответ:
Показать решение
Решение:
Ответ:
Задача № 18
Показать ответ
Ответ:
Показать решение
Решение:
Ответ:
Задача № 19
Показать ответ
Ответ:
Показать решение
Решение:
Ответ:
Задача № 20
Показать ответ
Ответ:
Показать решение
Решение:
Ответ:
Задача № 21
Показать ответ
Ответ:
Показать решение
Решение:
Ответ:
Задача № 22
Показать ответ
Ответ:
Показать решение
Решение:
Ответ:
Задача № 23
Показать ответ
Ответ:
Показать решение
Решение:
Ответ:
Задача № 24
Показать ответ
Ответ:
Показать решение
Решение:
Ответ:
Задача № 25
Показать ответ
Ответ:
Показать решение
Решение:
Ответ:
Задача № 26
Показать ответ
Ответ:
Показать решение
Решение:
Ответ:
Задача № 27
Показать ответ
Ответ:
Показать решение
Решение:
Ответ:
Задача № 28
Показать ответ
Ответ:
Показать решение
Решение:
Ответ:
Задача № 29
Показать ответ
Ответ:
Показать решение
Решение:
Ответ:
Задача № 30
Показать ответ
Ответ:
Показать решение
Решение:
Ответ:
Задача № 31
Показать ответ
Ответ:
Показать решение
Решение:
Ответ:
Задача № 32
Показать ответ
Ответ:
Показать решение
Решение:
Ответ:
Задача № 33
Показать ответ
Ответ:
Показать решение
Решение:
Ответ:
Задача № 34
Показать ответ
Ответ:
Показать решение
Решение:
Ответ:
Задача № 35
Показать ответ
Ответ:
Показать решение
Решение:
Ответ:
Задача № 36
Показать ответ
Ответ:
Показать решение
Решение:
Ответ:
Задача № 37
Показать ответ
Ответ:
Показать решение
Решение:
Ответ:
Задача № 38
Показать ответ
Ответ:
Показать решение
Решение:
Ответ:
Задача № 39
Показать ответ
Ответ:
Показать решение
Решение:
Ответ:
Задача № 40
Показать ответ
Ответ:
Показать решение
Решение:
Ответ:
Задача № 41
Показать ответ
Ответ:
Показать решение
Решение:
Ответ:
Задача № 42
Показать ответ
Ответ:
Показать решение
Решение:
Ответ:
Задача № 43
Показать ответ
Ответ:
Показать решение
Решение:
Ответ:
Задача № 44
Показать ответ
Ответ:
Показать решение
Решение:
Ответ:
Задача № 45
Показать ответ
Ответ:
Показать решение
Решение:
Ответ:
Задача № 46
Показать ответ
Ответ:
Показать решение
Решение:
Ответ:
Задача № 47
Показать ответ
Ответ:
Показать решение
Решение:
Ответ:
Задача № 48
Показать ответ
Ответ:
Показать решение
Решение:
Ответ:
Задача № 49
Показать ответ
Ответ:
Показать решение
Решение:
Ответ:
Задача № 50
Показать ответ
Ответ:
Показать решение
Решение:
Ответ:
Задача № 51
Показать ответ
Ответ:
Показать решение
Решение:
Ответ:
Задача № 52
Показать ответ
Ответ:
Показать решение
Решение:
Ответ:
Задача № 53
Показать ответ
Ответ:
Показать решение
Решение:
Ответ:
Задача № 54
Показать ответ
Ответ:
Показать решение
Решение:
Ответ:
Задача № 55
Показать ответ
Ответ:
Показать решение
Решение:
Ответ:
Задача № 56
Показать ответ
Ответ:
Показать решение
Решение:
Ответ:
Задача № 57
Показать ответ
Ответ:
Показать решение
Решение:
Ответ:
Задача № 58
Показать ответ
Ответ:
Показать решение
Решение:
Ответ:
Задача № 59
Показать ответ
Ответ:
Показать решение
Решение:
Ответ:
Задача № 60
Показать ответ
Ответ:
Показать решение
Решение:
Ответ:
Задача № 61
Показать ответ
Ответ:
Показать решение
Решение:
Ответ:
Задача № 62
Показать ответ
Ответ:
Показать решение
Решение:
Ответ:
Задача № 63
Показать ответ
Ответ:
Показать решение
Решение:
Ответ:
Задача № 64
Показать ответ
Ответ:
Показать решение
Решение:
Ответ:
Задача № 65
Показать ответ
Ответ:
Показать решение
Решение:
Ответ:
Задача № 66
Показать ответ
Ответ:
Показать решение
Решение:
Ответ:
Задача № 67
Показать ответ
Ответ:
Показать решение
Решение:
Ответ:
Задача № 68
Показать ответ
Ответ:
Показать решение
Решение:
Ответ:
Задача № 69
Показать ответ
Ответ:
Показать решение
Решение:
Ответ:
Задача № 70
Показать ответ
Ответ:
Показать решение
Решение:
Ответ:
Задача № 71
Показать ответ
Ответ:
Показать решение
Решение:
Ответ:
Задача № 72
Показать ответ
Ответ:
Показать решение
Решение:
Ответ:
Задача № 73
Показать ответ
Ответ:
Показать решение
Решение:
Ответ:
Задача № 74
Показать ответ
Ответ:
Показать решение
Решение:
Ответ:
Задача № 75
Показать ответ
Ответ:
Показать решение
Решение:
Ответ:
Задача № 76
Показать ответ
Ответ:
Показать решение
Решение:
Ответ:
Задача № 77
Показать ответ
Ответ:
Показать решение
Решение:
Ответ:
Задача № 78
Показать ответ
Ответ:
Показать решение
Решение:
Ответ:
Задача № 79
Показать ответ
Ответ:
Показать решение
Решение:
Ответ:
Задача № 80
Показать ответ
Ответ:
Показать решение
Решение:
Ответ:
Задача № 81
Показать ответ
Ответ:
Показать решение
Решение:
Ответ:
Задача № 82
Показать ответ
Ответ:
Показать решение
Решение:
Ответ:
Задача № 83
Показать ответ
Ответ:
Показать решение
Решение:
Ответ:
Задача № 84
Показать ответ
Ответ:
Показать решение
Решение:
Ответ:
Задача № 85
Показать ответ
Ответ:
Показать решение
Решение:
Ответ:
Задача № 86
Показать ответ
Ответ:
Показать решение
Решение:
Ответ:
Задача № 87
Показать ответ
Ответ:
Показать решение
Решение:
Ответ:
Задача № 88
Показать ответ
Ответ:
Показать решение
Решение:
Ответ:
Задача № 89
Показать ответ
Ответ:
Показать решение
Решение:
Ответ:
Задача № 90
Показать ответ
Ответ:
Показать решение
Решение:
Ответ:
Задача № 91
Показать ответ
Ответ:
Показать решение
Решение:
Ответ:
Задача № 92
Показать ответ
Ответ:
Показать решение
Решение:
Ответ:
Задача № 93
Показать ответ
Ответ:
Показать решение
Решение:
Ответ:
Задача № 94
Показать ответ
Ответ:
Показать решение
Решение:
Ответ:
Задача № 95
Показать ответ
Ответ:
Показать решение
Решение:
Ответ:
Задача № 96
Показать ответ
Ответ:
Показать решение
Решение:
Ответ:
Задача № 97
Показать ответ
Ответ:
Показать решение
Решение:
Ответ:
Задача № 98
Показать ответ
Ответ:
Показать решение
Решение:
Ответ:
Задача № 99
Показать ответ
Ответ:
Показать решение
Решение:
Ответ:
Задача № 100
Показать ответ
Ответ:
Показать решение
Решение:
Ответ:
Задача № 101
Показать ответ
Ответ:
Показать решение
Решение:
Ответ:
Задача № 102
Показать ответ
Ответ:
Показать решение
Решение:
Ответ:
Задача № 103
Показать ответ
Ответ:
Показать решение
Решение:
Ответ:
Задача № 104
Показать ответ
Ответ:
Показать решение
Решение:
Ответ:
Задача № 105
Показать ответ
Ответ:
Показать решение
Решение:
Ответ:
Задача № 106
Показать ответ
Ответ:
Показать решение
Решение:
Ответ:
Задача № 107
Показать ответ
Ответ:
Показать решение
Решение:
Ответ:
Задача № 108
Показать ответ
Ответ:
Показать решение
Решение:
Ответ:
Задача № 109
Показать ответ
Ответ:
Показать решение
Решение:
Ответ:
Задача № 110
Показать ответ
Ответ:
Показать решение
Решение:
Ответ:
Задача № 111
Показать ответ
Ответ:
Показать решение
Решение:
Ответ:
Задача № 112
Показать ответ
Ответ:
Показать решение
Решение:
Ответ:
Задача № 113
Показать ответ
Ответ:
Показать решение
Решение:
Ответ:
Задача № 114
Показать ответ
Ответ:
Показать решение
Решение:
Ответ:
Задача № 115
Показать ответ
Ответ:
Показать решение
Решение:
Ответ:
Задача № 116
Показать ответ
Ответ:
Показать решение
Решение:
Ответ:
Задача № 117
Показать ответ
Ответ:
Показать решение
Решение:
Ответ:
Задача № 118
Показать ответ
Ответ:
Показать решение
Решение:
Ответ:
Задача № 119
Показать ответ
Ответ:
Показать решение
Решение:
Ответ:
Задача № 120
Показать ответ
Ответ:
Показать решение
Решение:
Ответ:
Задача № 121
Показать ответ
Ответ:
Показать решение
Решение:
Ответ:
Задача № 122
Показать ответ
Ответ:
Показать решение
Решение:
Ответ:
Задача № 123
Показать ответ
Ответ:
Показать решение
Решение:
Ответ:
Задача № 124
Показать ответ
Ответ:
Показать решение
Решение:
Ответ:
Задача № 125
Показать ответ
Ответ:
Показать решение
Решение:
Ответ:
Задача № 126
Показать ответ
Ответ:
Показать решение
Решение:
Ответ:
Задача № 127
Показать ответ
Ответ:
Показать решение
Решение:
Ответ:
Задача № 128
Показать ответ
Ответ:
Показать решение
Решение:
Ответ:
Задача № 129
Показать ответ
Ответ:
Показать решение
Решение:
Ответ:
Задача № 130
Показать ответ
Ответ:
Показать решение
Решение:
Ответ:
Задача № 131
Показать ответ
Ответ:
Показать решение
Решение:
Ответ:
Задача № 132
Показать ответ
Ответ:
Показать решение
Решение:
Ответ:
Задача № 133
Показать ответ
Ответ:
Показать решение
Решение:
Ответ:
Задача № 134
Показать ответ
Ответ:
Показать решение
Решение:
Ответ:
Задача № 135
Показать ответ
Ответ:
Показать решение
Решение:
Ответ:
Задача № 136
Показать ответ
Ответ:
Показать решение
Решение:
Ответ:
Задача № 137
Показать ответ
Ответ:
Показать решение
Решение:
Ответ:
Задача № 138
Показать ответ
Ответ:
Показать решение
Решение:
Ответ:
Задача № 139
Показать ответ
Ответ:
Показать решение
Решение:
Ответ:
Задача № 140
Показать ответ
Ответ:
Показать решение
Решение:
Ответ:
Задача № 141
Показать ответ
Ответ:
Показать решение
Решение:
Ответ:
Задача № 142
Показать ответ
Ответ:
Показать решение
Решение:
Ответ:
Задача № 143
Показать ответ
Ответ:
Показать решение
Решение:
Ответ:
Задача № 144
Показать ответ
Ответ:
Показать решение
Решение:
Ответ:
Задача № 145
Показать ответ
Ответ:
Показать решение
Решение:
Ответ:
Задача № 146
Показать ответ
Ответ:
Показать решение
Решение:
Ответ:
Задача № 147
Показать ответ
Ответ:
Показать решение
Решение:
Ответ:
Задача № 148
Показать ответ
Ответ:
Показать решение
Решение:
Ответ:
Задача № 149
Показать ответ
Ответ:
Показать решение
Решение:
Ответ:
Задача № 150
Показать ответ
Ответ:
Показать решение
Решение:
Ответ:
Задача № 151
Показать ответ
Ответ:
Показать решение
Решение:
Ответ: