Навигация
Математушка
Наши выпускники
Оставить заявку
ЕГЭ
Статьи
Контакты
Цены
Заочное обучение
Войти
Задачи ЕГЭ по математике
9 Неравенства с одной переменной
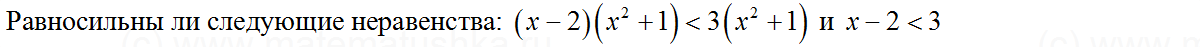
Задача № 1
Показать ответ
Ответ:
Показать решение
Решение:
Ответ:
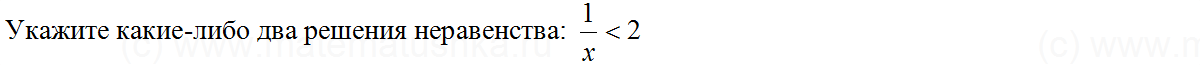
Задача № 2
Показать ответ
Ответ:
Показать решение
Решение:
Ответ:
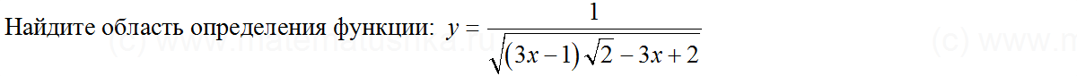
Задача № 3
Показать ответ
Ответ:
Показать решение
Решение:
Ответ:
Задача № 4
Показать ответ
Ответ:
Показать решение
Решение:
Ответ:
Задача № 5
Показать ответ
Ответ:
Показать решение
Решение:
Ответ:
Задача № 6
Показать ответ
Ответ:
Показать решение
Решение:
Ответ:
Задача № 7
Показать ответ
Ответ:
Показать решение
Решение:
Ответ:
Задача № 8
Показать ответ
Ответ:
Показать решение
Решение:
Ответ:
Задача № 9
Показать ответ
Ответ:
Показать решение
Решение:
Ответ:
Задача № 10
Показать ответ
Ответ:
Показать решение
Решение:
Ответ:
Задача № 11
Показать ответ
Ответ:
Показать решение
Решение:
Ответ:
Задача № 12
Показать ответ
Ответ:
Показать решение
Решение:
Ответ:
Задача № 13
Показать ответ
Ответ:
Показать решение
Решение:
Ответ:
Задача № 14
Показать ответ
Ответ:
Показать решение
Решение:
Ответ:
Задача № 15
Показать ответ
Ответ:
Показать решение
Решение:
Ответ:
Задача № 16
Показать ответ
Ответ:
Показать решение
Решение:
Ответ:
Задача № 17
Показать ответ
Ответ:
Показать решение
Решение:
Ответ:
Задача № 18
Показать ответ
Ответ:
Показать решение
Решение:
Ответ:
Задача № 19
Показать ответ
Ответ:
Показать решение
Решение:
Ответ:
Задача № 20
Показать ответ
Ответ:
Показать решение
Решение:
Ответ:
Задача № 21
Показать ответ
Ответ:
Показать решение
Решение:
Ответ:
Задача № 22
Показать ответ
Ответ:
Показать решение
Решение:
Ответ:
Задача № 23
Показать ответ
Ответ:
Показать решение
Решение:
Ответ:
Задача № 24
Показать ответ
Ответ:
Показать решение
Решение:
Ответ:
Задача № 25
Показать ответ
Ответ:
Показать решение
Решение:
Ответ:
Задача № 26
Показать ответ
Ответ:
Показать решение
Решение:
Ответ:
Задача № 27
Показать ответ
Ответ:
Показать решение
Решение:
Ответ:
Задача № 28
Показать ответ
Ответ:
Показать решение
Решение:
Ответ:
Задача № 29
Показать ответ
Ответ:
Показать решение
Решение:
Ответ:
Задача № 30
Показать ответ
Ответ:
Показать решение
Решение:
Ответ:
Задача № 31
Показать ответ
Ответ:
Показать решение
Решение:
Ответ:
Задача № 32
Показать ответ
Ответ:
Показать решение
Решение:
Ответ:
Задача № 33
Показать ответ
Ответ:
Показать решение
Решение:
Ответ:
Задача № 34
Показать ответ
Ответ:
Показать решение
Решение:
Ответ:
Задача № 35
Показать ответ
Ответ:
Показать решение
Решение:
Ответ:
Задача № 36
Показать ответ
Ответ:
Показать решение
Решение:
Ответ:
Задача № 37
Показать ответ
Ответ:
Показать решение
Решение:
Ответ: