Задачи ЕГЭ по математике

B13 Многогранники. Тела вращения. Прямые и плоскости в пространстве. Измерение геометрических величин


Задача № 1

B13, задача № 1

Показать ответ
Показать решение


Задача № 2

B13, задача № 2

Показать ответ
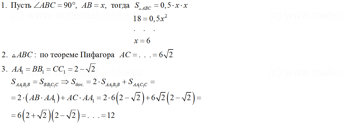
Показать решение


Задача № 3

B13, задача № 3

Показать ответ
Показать решение


Задача № 4

B13, задача № 4

Показать ответ
Показать решение


Задача № 5

B13, задача № 5

Показать ответ
Показать решение


Задача № 6

B13, задача № 6

Показать ответ
Показать решение


Задача № 7

B13, задача № 7

Показать ответ
Показать решение


Задача № 8

B13, задача № 8

Показать ответ
Показать решение


Задача № 9

B13, задача № 9

Показать ответ
Показать решение


Задача № 10

B13, задача № 10

Показать ответ
Показать решение


Задача № 11

B13, задача № 11

Показать ответ
Показать решение


Задача № 12

B13, задача № 12

Показать ответ
Показать решение


Задача № 13

B13, задача № 13

Показать ответ
Показать решение


Задача № 14

B13, задача № 14

Показать ответ
Показать решение


Задача № 15

B13, задача № 15

Показать ответ
Показать решение


Задача № 16

B13, задача № 16

Показать ответ
Показать решение


Задача № 17

B13, задача № 17

Показать ответ
Показать решение


Задача № 18

B13, задача № 18

Показать ответ
Показать решение


Задача № 19

B13, задача № 19

Показать ответ
Показать решение


Задача № 20

B13, задача № 20

Показать ответ
Показать решение


Задача № 21

B13, задача № 21

Показать ответ
Показать решение