Задачи ЕГЭ по математике

B15 Исследование функций. Применение производной функции


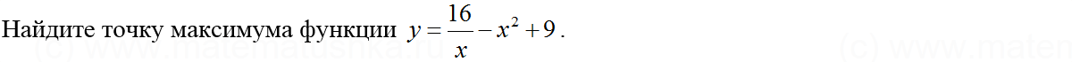
Задача № 1

B15, задача № 1

Показать ответ
Показать решение


Задача № 2

B15, задача № 2

Показать ответ
Показать решение


Задача № 3

B15, задача № 3

Показать ответ
Показать решение


Задача № 4

B15, задача № 4

Показать ответ
Показать решение


Задача № 5

B15, задача № 5

Показать ответ
Показать решение


Задача № 6

B15, задача № 6

Показать ответ
Показать решение


Задача № 7

B15, задача № 7

Показать ответ
Показать решение


Задача № 8

B15, задача № 8

Показать ответ
Показать решение


Задача № 9

B15, задача № 9

Показать ответ
Показать решение


Задача № 10

B15, задача № 10

Показать ответ
Показать решение


Задача № 11

B15, задача № 11

Показать ответ
Показать решение


Задача № 12

B15, задача № 12

Показать ответ
Показать решение


Задача № 13

B15, задача № 13

Показать ответ
Показать решение


Задача № 14

B15, задача № 14

Показать ответ
Показать решение